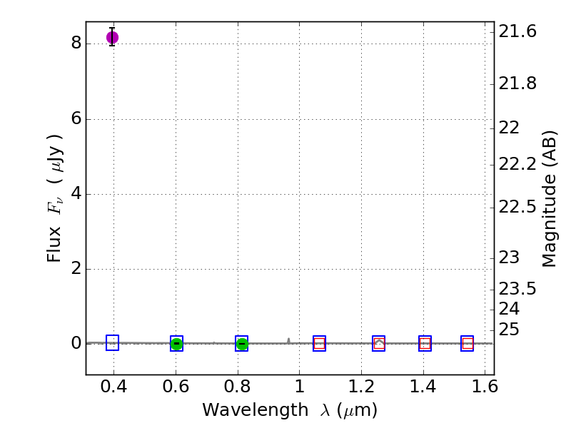
RXS0603+42-S IR detection object #6919

Color images and BPZ results
Catalog: 6919.cat
Black segments are analyzed here.   Roll mouse over color images to view segments.
Best viewed in a wide browser window (1200 pixels or more).   Download SED & P(z) plots to view larger versions.
In P(z) plots: Yellow lines mark the cluster redshift z = 0.228,  

Object #6919   x,y = (3454, 1155)   RA, Dec = (06:03:21.264, 42:08:35.52) = (90.83860, 42.14320)   BPZ = 1.593 [0.355--4.698]   type = 11.00 (SB11_A_0_l)   stellarity = 0.97   chisq2 = 1142.00   ODDS = 0.12   z_cluster = 0.228