RXS0603+42-S IR detection object #6868

Color images and BPZ results
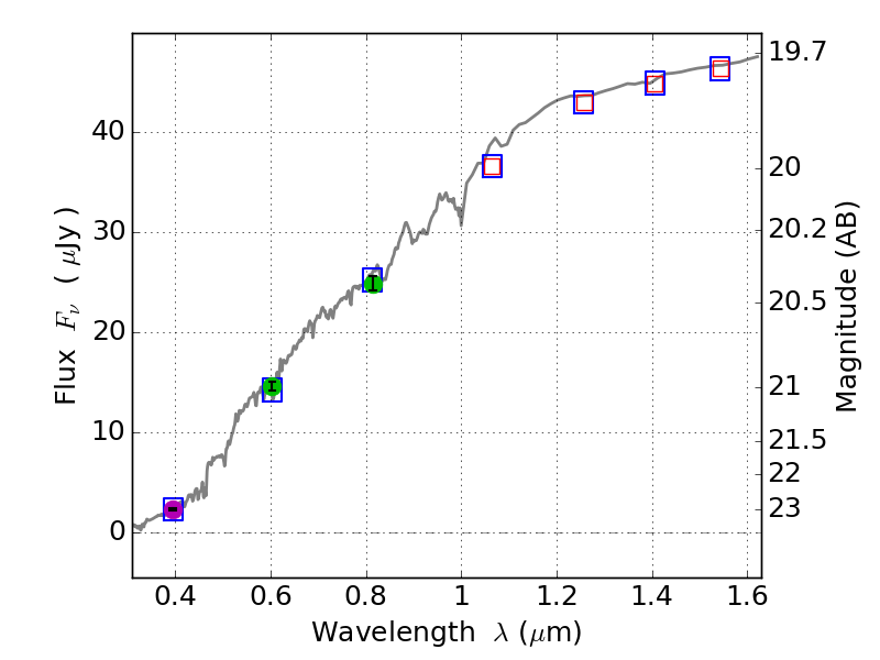
Catalog: 6868.cat
Black segments are analyzed here.   Roll mouse over color images to view segments.
Best viewed in a wide browser window (1200 pixels or more).   Download SED & P(z) plots to view larger versions.
In P(z) plots: Yellow lines mark the cluster redshift z = 0.228,  

Object #6868   x,y = (3401, 1165)   RA, Dec = (06:03:21.552, 42:08:36.24) = (90.83980, 42.14340)   BPZ = 0.171 [0.093--0.210]   type = 3.40 (Ell5_A_0 - Ell4_A_0)   stellarity = 0.91   chisq2 = 0.03   ODDS = 0.83   z_cluster = 0.228