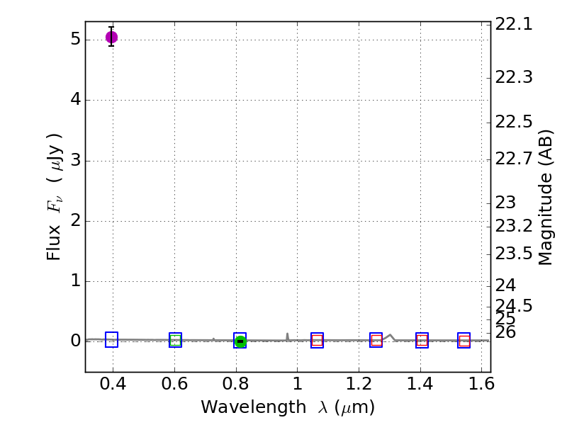
RXS0603+42-S IR detection object #6864

Color images and BPZ results
Catalog: 6864.cat
Black segments are analyzed here.   Roll mouse over color images to view segments.
Best viewed in a wide browser window (1200 pixels or more).   Download SED & P(z) plots to view larger versions.
In P(z) plots: Yellow lines mark the cluster redshift z = 0.228,  

Object #6864   x,y = (2617, 1188)   RA, Dec = (06:03:25.776, 42:08:37.68) = (90.85740, 42.14380)   BPZ = 1.596 [0.422--7.183]   type = 11.00 (SB11_A_0_l)   stellarity = 0.92   chisq2 = 1068.00   ODDS = 0.13   z_cluster = 0.228