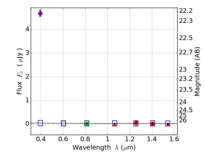
RXS0603+42-S IR detection object #6821

Color images and BPZ results
Catalog: 6821.cat
Black segments are analyzed here.   Roll mouse over color images to view segments.
Best viewed in a wide browser window (1200 pixels or more).   Download SED & P(z) plots to view larger versions.
In P(z) plots: Yellow lines mark the cluster redshift z = 0.228,  

Object #6821   x,y = (2608, 1209)   RA, Dec = (06:03:25.824, 42:08:38.76) = (90.85760, 42.14410)   BPZ = 1.729 [0.567--2.669]   type = 11.00 (SB11_A_0_l)   stellarity = 0.91   chisq2 = 371.50   ODDS = 0.27   z_cluster = 0.228