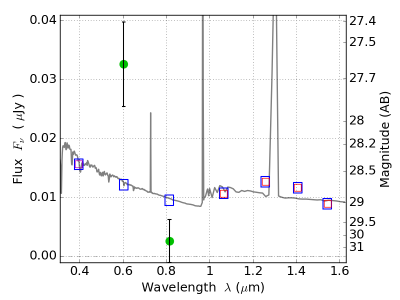
RXS0603+42-S IR detection object #6798

Color images and BPZ results
Catalog: 6798.cat
Black segments are analyzed here.   Roll mouse over color images to view segments.
Best viewed in a wide browser window (1200 pixels or more).   Download SED & P(z) plots to view larger versions.
In P(z) plots: Yellow lines mark the cluster redshift z = 0.228,  

Object #6798   x,y = (3621, 1219)   RA, Dec = (06:03:20.376, 42:08:39.48) = (90.83490, 42.14430)   BPZ = 1.598 [0.325--4.099]   type = 11.00 (SB11_A_0_l)   stellarity = 0.61   chisq2 = 11.25   ODDS = 0.09   z_cluster = 0.228