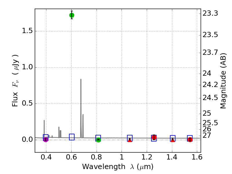
RXS0603+42-S IR detection object #6760

Color images and BPZ results
Catalog: 6760.cat
Black segments are analyzed here.   Roll mouse over color images to view segments.
Best viewed in a wide browser window (1200 pixels or more).   Download SED & P(z) plots to view larger versions.
In P(z) plots: Yellow lines mark the cluster redshift z = 0.228,  

Object #6760   x,y = (2698, 1239)   RA, Dec = (06:03:25.344, 42:08:40.56) = (90.85560, 42.14460)   BPZ = 0.029 [0.026--3.576]   type = 11.00 (SB11_A_0_l)   stellarity = 0.84   chisq2 = 237.50   ODDS = 0.07   z_cluster = 0.228