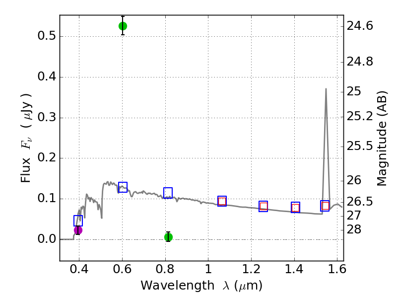
RXS0603+42-S IR detection object #668

Color images and BPZ results
Catalog: 668.cat
Black segments are analyzed here.   Roll mouse over color images to view segments.
Best viewed in a wide browser window (1200 pixels or more).   Download SED & P(z) plots to view larger versions.
In P(z) plots: Yellow lines mark the cluster redshift z = 0.228,  

Object #668   x,y = (1819, 4061)   RA, Dec = (06:03:30.096, 42:11:30.12) = (90.87540, 42.19170)   BPZ = 3.163 [2.954--3.307]   type = 11.00 (SB11_A_0_l)   stellarity = 0.67   chisq2 = 336.00   ODDS = 0.93   z_cluster = 0.228