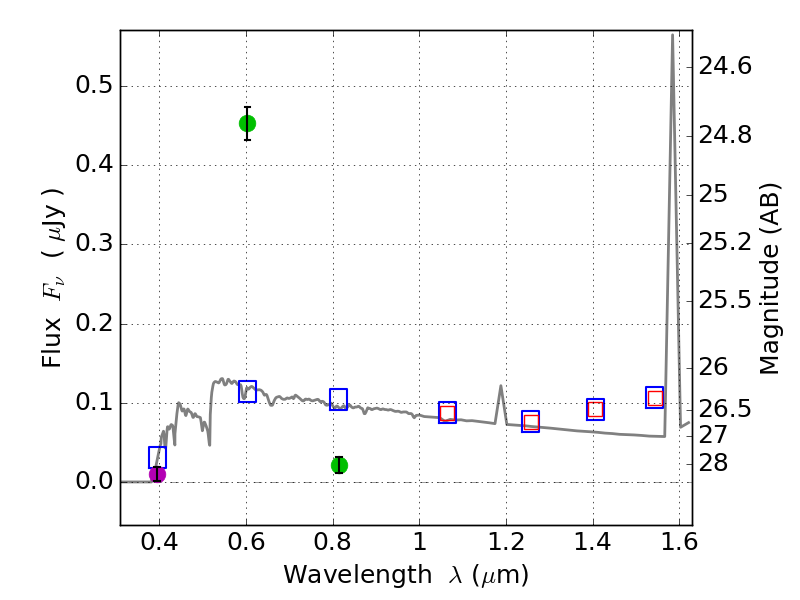
RXS0603+42-S IR detection object #660

Color images and BPZ results
Catalog: 660.cat
Black segments are analyzed here.   Roll mouse over color images to view segments.
Best viewed in a wide browser window (1200 pixels or more).   Download SED & P(z) plots to view larger versions.
In P(z) plots: Yellow lines mark the cluster redshift z = 0.228,  

Object #660   x,y = (1806, 4068)   RA, Dec = (06:03:30.168, 42:11:30.48) = (90.87570, 42.19180)   BPZ = 3.251 [3.107--3.441]   type = 11.00 (SB11_A_0_l)   stellarity = 0.68   chisq2 = 282.90   ODDS = 0.95   z_cluster = 0.228