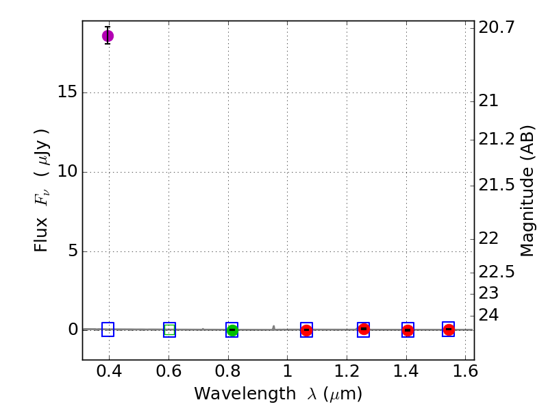
RXS0603+42-S IR detection object #6587

Color images and BPZ results
Catalog: 6587.cat
Black segments are analyzed here.   Roll mouse over color images to view segments.
Best viewed in a wide browser window (1200 pixels or more).   Download SED & P(z) plots to view larger versions.
In P(z) plots: Yellow lines mark the cluster redshift z = 0.228,  

Object #6587   x,y = (2257, 1314)   RA, Dec = (06:03:27.720, 42:08:45.24) = (90.86550, 42.14590)   BPZ = 1.558 [0.388--3.638]   type = 11.00 (SB11_A_0_l)   stellarity = 0.97   chisq2 = 381.30   ODDS = 0.13   z_cluster = 0.228