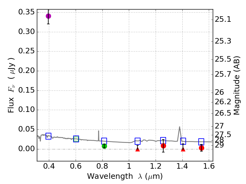
RXS0603+42-S IR detection object #6560

Color images and BPZ results
Catalog: 6560.cat
Black segments are analyzed here.   Roll mouse over color images to view segments.
Best viewed in a wide browser window (1200 pixels or more).   Download SED & P(z) plots to view larger versions.
In P(z) plots: Yellow lines mark the cluster redshift z = 0.228,  

Object #6560   x,y = (2262, 1333)   RA, Dec = (06:03:27.696, 42:08:46.32) = (90.86540, 42.14620)   BPZ = 1.763 [1.377--2.260]   type = 11.00 (SB11_A_0_l)   stellarity = 0.82   chisq2 = 77.09   ODDS = 0.47   z_cluster = 0.228