RXS0603+42-S IR detection object #6534

Color images and BPZ results
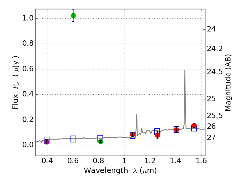
Catalog: 6534.cat
Black segments are analyzed here.   Roll mouse over color images to view segments.
Best viewed in a wide browser window (1200 pixels or more).   Download SED & P(z) plots to view larger versions.
In P(z) plots: Yellow lines mark the cluster redshift z = 0.228,  

Object #6534   x,y = (2422, 1321)   RA, Dec = (06:03:26.832, 42:08:45.60) = (90.86180, 42.14600)   BPZ = 1.938 [1.349--2.821]   type = 9.10 (SB2_B10 - SB3_B10)   stellarity = 0.64   chisq2 = 97.05   ODDS = 0.24   z_cluster = 0.228