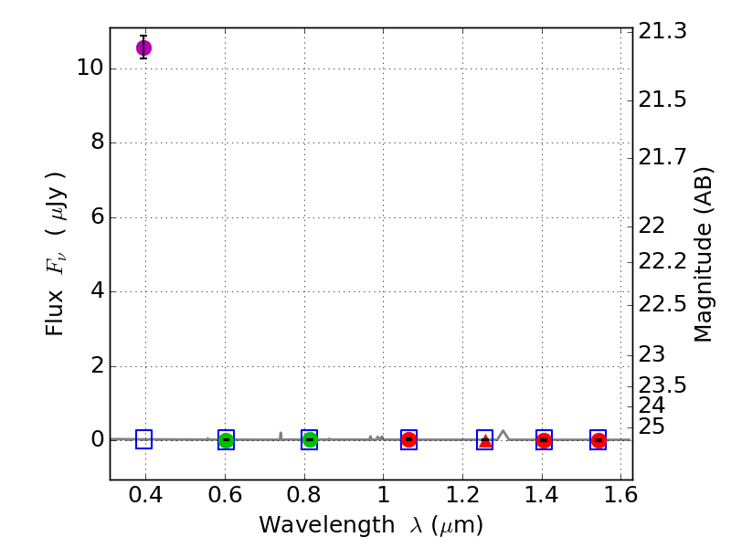
RXS0603+42-S IR detection object #6491

Color images and BPZ results
Catalog: 6491.cat
Black segments are analyzed here.   Roll mouse over color images to view segments.
Best viewed in a wide browser window (1200 pixels or more).   Download SED & P(z) plots to view larger versions.
In P(z) plots: Yellow lines mark the cluster redshift z = 0.228,  

Object #6491   x,y = (3586, 1362)   RA, Dec = (06:03:20.568, 42:08:48.12) = (90.83570, 42.14670)   BPZ = 0.995 [0.233--4.067]   type = 11.00 (SB11_A_0_l)   stellarity = 0.91   chisq2 = 285.70   ODDS = 0.09   z_cluster = 0.228