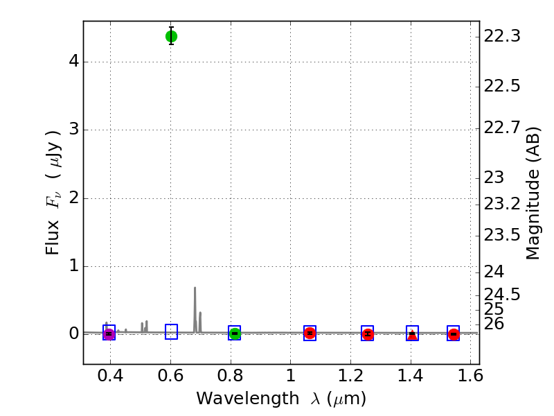
RXS0603+42-S IR detection object #6465

Color images and BPZ results
Catalog: 6465.cat
Black segments are analyzed here.   Roll mouse over color images to view segments.
Best viewed in a wide browser window (1200 pixels or more).   Download SED & P(z) plots to view larger versions.
In P(z) plots: Yellow lines mark the cluster redshift z = 0.228,  

Object #6465   x,y = (2370, 1375)   RA, Dec = (06:03:27.120, 42:08:48.84) = (90.86300, 42.14690)   BPZ = 0.041 [0.058--3.886]   type = 11.00 (SB11_A_0_l)   stellarity = 0.78   chisq2 = 283.40   ODDS = 0.03   z_cluster = 0.228