RXS0603+42-S IR detection object #6443

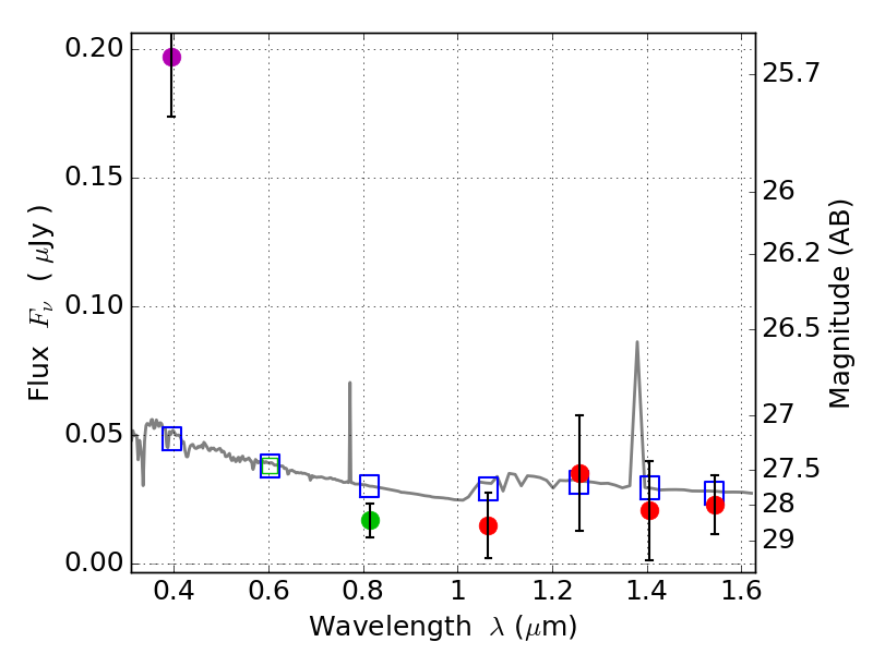
Color images and BPZ results
Catalog: 6443.cat
Black segments are analyzed here.   Roll mouse over color images to view segments.
Best viewed in a wide browser window (1200 pixels or more).   Download SED & P(z) plots to view larger versions.
In P(z) plots: Yellow lines mark the cluster redshift z = 0.228,  

Object #6443   x,y = (2103, 1385)   RA, Dec = (06:03:28.560, 42:08:49.56) = (90.86900, 42.14710)   BPZ = 1.762 [1.049--2.374]   type = 11.00 (SB11_A_0_l)   stellarity = 0.59   chisq2 = 14.66   ODDS = 0.36   z_cluster = 0.228