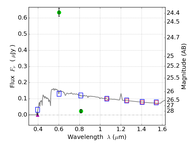
RXS0603+42-S IR detection object #642

Color images and BPZ results
Catalog: 642.cat
Black segments are analyzed here.   Roll mouse over color images to view segments.
Best viewed in a wide browser window (1200 pixels or more).   Download SED & P(z) plots to view larger versions.
In P(z) plots: Yellow lines mark the cluster redshift z = 0.228,  

Object #642   x,y = (1824, 4080)   RA, Dec = (06:03:30.072, 42:11:31.20) = (90.87530, 42.19200)   BPZ = 3.290 [3.182--3.505]   type = 11.00 (SB11_A_0_l)   stellarity = 0.65   chisq2 = 428.70   ODDS = 0.93   z_cluster = 0.228