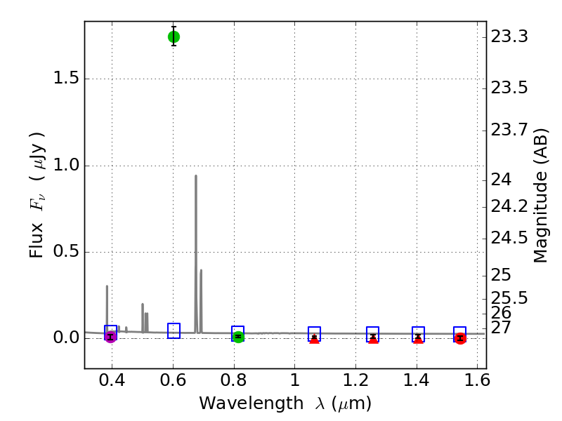
RXS0603+42-S IR detection object #6389

Color images and BPZ results
Catalog: 6389.cat
Black segments are analyzed here.   Roll mouse over color images to view segments.
Best viewed in a wide browser window (1200 pixels or more).   Download SED & P(z) plots to view larger versions.
In P(z) plots: Yellow lines mark the cluster redshift z = 0.228,  

Object #6389   x,y = (2292, 1412)   RA, Dec = (06:03:27.552, 42:08:51.00) = (90.86480, 42.14750)   BPZ = 0.032 [0.016--3.521]   type = 11.00 (SB11_A_0_l)   stellarity = 0.72   chisq2 = 237.50   ODDS = 0.23   z_cluster = 0.228