RXS0603+42-S IR detection object #6342

Color images and BPZ results
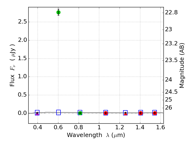
Catalog: 6342.cat
Black segments are analyzed here.   Roll mouse over color images to view segments.
Best viewed in a wide browser window (1200 pixels or more).   Download SED & P(z) plots to view larger versions.
In P(z) plots: Yellow lines mark the cluster redshift z = 0.228,  

Object #6342   x,y = (2064, 1444)   RA, Dec = (06:03:28.776, 42:08:52.80) = (90.86990, 42.14800)   BPZ = 2.853 [0.197--4.024]   type = 11.00 (SB11_A_0_l)   stellarity = 0.65   chisq2 = 271.70   ODDS = 0.16   z_cluster = 0.228