RXS0603+42-S IR detection object #6225

Color images and BPZ results
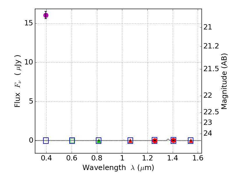
Catalog: 6225.cat
Black segments are analyzed here.   Roll mouse over color images to view segments.
Best viewed in a wide browser window (1200 pixels or more).   Download SED & P(z) plots to view larger versions.
In P(z) plots: Yellow lines mark the cluster redshift z = 0.228,  

Object #6225   x,y = (1674, 1499)   RA, Dec = (06:03:30.864, 42:08:56.40) = (90.87860, 42.14900)   BPZ = 1.078 [0.309--8.114]   type = 11.00 (SB11_A_0_l)   stellarity = 0.91   chisq2 = 382.90   ODDS = 0.06   z_cluster = 0.228