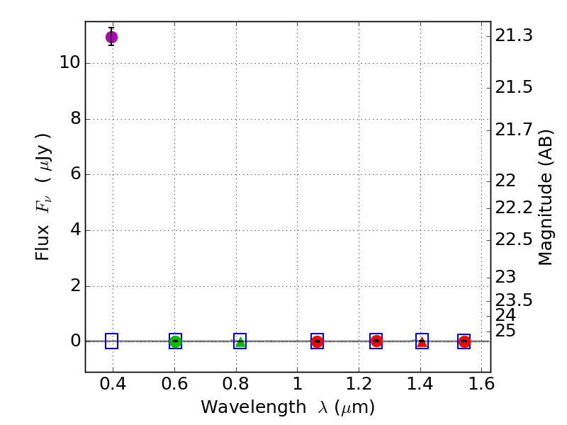
RXS0603+42-S IR detection object #6212

Color images and BPZ results
Catalog: 6212.cat
Black segments are analyzed here.   Roll mouse over color images to view segments.
Best viewed in a wide browser window (1200 pixels or more).   Download SED & P(z) plots to view larger versions.
In P(z) plots: Yellow lines mark the cluster redshift z = 0.228,  

Object #6212   x,y = (3618, 1497)   RA, Dec = (06:03:20.376, 42:08:56.04) = (90.83490, 42.14890)   BPZ = 1.112 [0.284--7.099]   type = 11.00 (SB11_A_0_l)   stellarity = 0.91   chisq2 = 287.10   ODDS = 0.06   z_cluster = 0.228