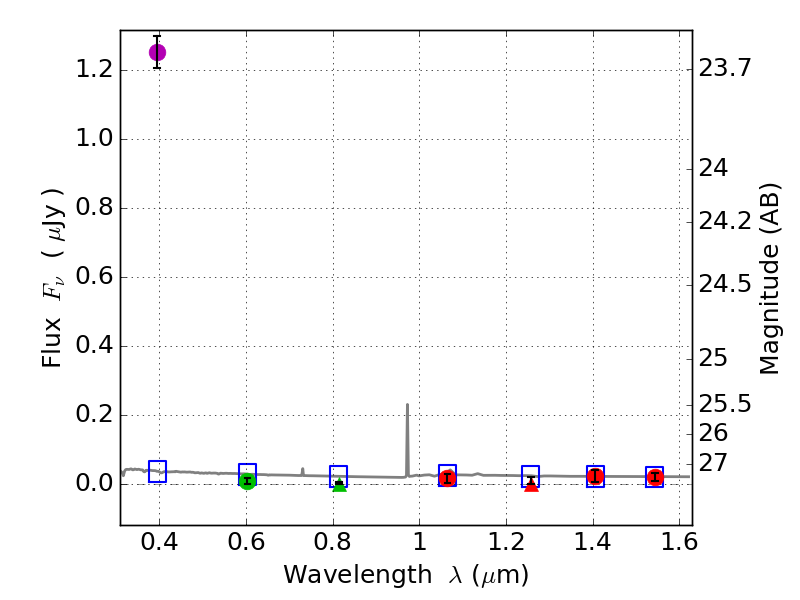
RXS0603+42-S IR detection object #6207

Color images and BPZ results
Catalog: 6207.cat
Black segments are analyzed here.   Roll mouse over color images to view segments.
Best viewed in a wide browser window (1200 pixels or more).   Download SED & P(z) plots to view larger versions.
In P(z) plots: Yellow lines mark the cluster redshift z = 0.228,  

Object #6207   x,y = (3603, 1499)   RA, Dec = (06:03:20.472, 42:08:56.40) = (90.83530, 42.14900)   BPZ = 1.610 [1.176--2.231]   type = 11.00 (SB11_A_0_l)   stellarity = 0.85   chisq2 = 175.60   ODDS = 0.33   z_cluster = 0.228