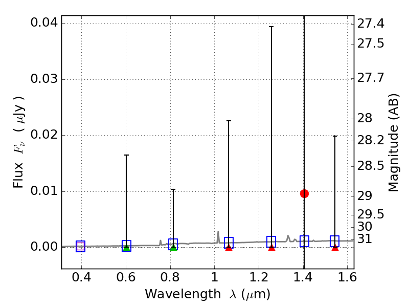
RXS0603+42-S IR detection object #6166

Color images and BPZ results
Catalog: 6166.cat
Black segments are analyzed here.   Roll mouse over color images to view segments.
Best viewed in a wide browser window (1200 pixels or more).   Download SED & P(z) plots to view larger versions.
In P(z) plots: Yellow lines mark the cluster redshift z = 0.228,  

Object #6166   x,y = (3642, 1509)   RA, Dec = (06:03:20.256, 42:08:56.76) = (90.83440, 42.14910)   BPZ = 1.028 [0.282--7.582]   type = 8.00 (SB1_B10)   stellarity = 0.95   chisq2 = 900.00   ODDS = 0.06   z_cluster = 0.228