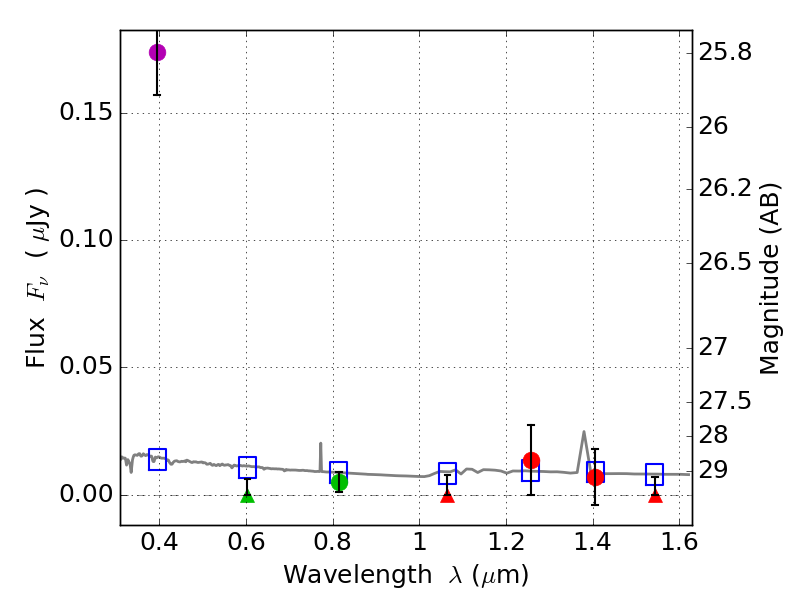
RXS0603+42-S IR detection object #6065

Color images and BPZ results
Catalog: 6065.cat
Black segments are analyzed here.   Roll mouse over color images to view segments.
Best viewed in a wide browser window (1200 pixels or more).   Download SED & P(z) plots to view larger versions.
In P(z) plots: Yellow lines mark the cluster redshift z = 0.228,  

Object #6065   x,y = (3627, 1568)   RA, Dec = (06:03:20.328, 42:09:00.36) = (90.83470, 42.15010)   BPZ = 1.760 [0.390--3.970]   type = 11.00 (SB11_A_0_l)   stellarity = 0.66   chisq2 = 23.58   ODDS = 0.19   z_cluster = 0.228