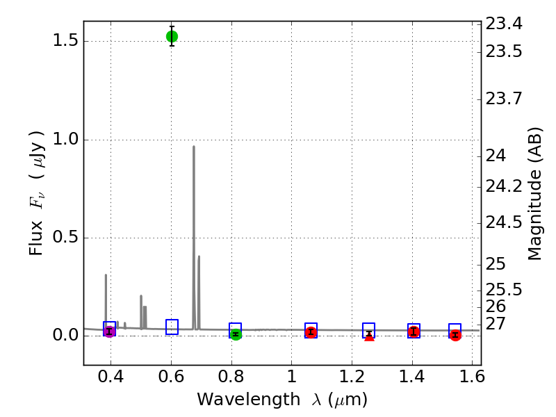
RXS0603+42-S IR detection object #6062

Color images and BPZ results
Catalog: 6062.cat
Black segments are analyzed here.   Roll mouse over color images to view segments.
Best viewed in a wide browser window (1200 pixels or more).   Download SED & P(z) plots to view larger versions.
In P(z) plots: Yellow lines mark the cluster redshift z = 0.228,  

Object #6062   x,y = (1708, 1569)   RA, Dec = (06:03:30.696, 42:09:00.36) = (90.87790, 42.15010)   BPZ = 0.026 [0.012--3.157]   type = 11.00 (SB11_A_0_l)   stellarity = 0.67   chisq2 = 226.90   ODDS = 0.51   z_cluster = 0.228