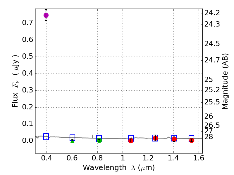
RXS0603+42-S IR detection object #6051

Color images and BPZ results
Catalog: 6051.cat
Black segments are analyzed here.   Roll mouse over color images to view segments.
Best viewed in a wide browser window (1200 pixels or more).   Download SED & P(z) plots to view larger versions.
In P(z) plots: Yellow lines mark the cluster redshift z = 0.228,  

Object #6051   x,y = (3606, 1575)   RA, Dec = (06:03:20.448, 42:09:00.72) = (90.83520, 42.15020)   BPZ = 1.729 [0.933--2.326]   type = 11.00 (SB11_A_0_l)   stellarity = 0.77   chisq2 = 128.40   ODDS = 0.38   z_cluster = 0.228