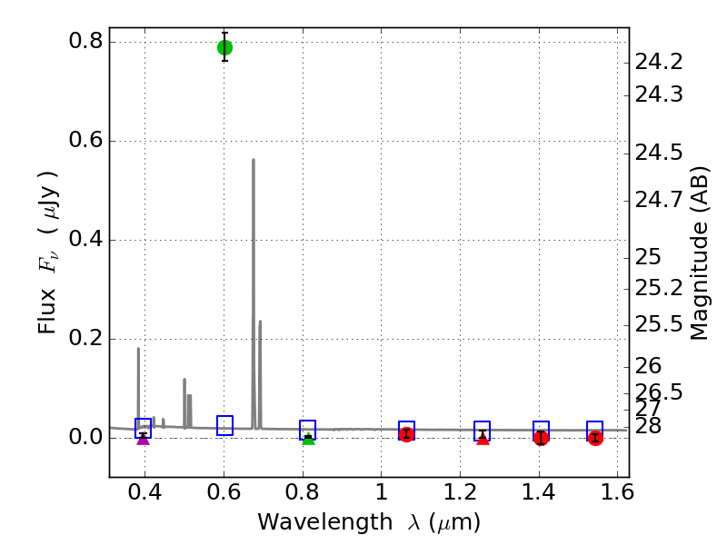
RXS0603+42-S IR detection object #6020

Color images and BPZ results
Catalog: 6020.cat
Black segments are analyzed here.   Roll mouse over color images to view segments.
Best viewed in a wide browser window (1200 pixels or more).   Download SED & P(z) plots to view larger versions.
In P(z) plots: Yellow lines mark the cluster redshift z = 0.228,  

Object #6020   x,y = (1731, 1590)   RA, Dec = (06:03:30.576, 42:09:01.80) = (90.87740, 42.15050)   BPZ = 0.028 [0.012--3.283]   type = 11.00 (SB11_A_0_l)   stellarity = 0.69   chisq2 = 183.80   ODDS = 0.56   z_cluster = 0.228