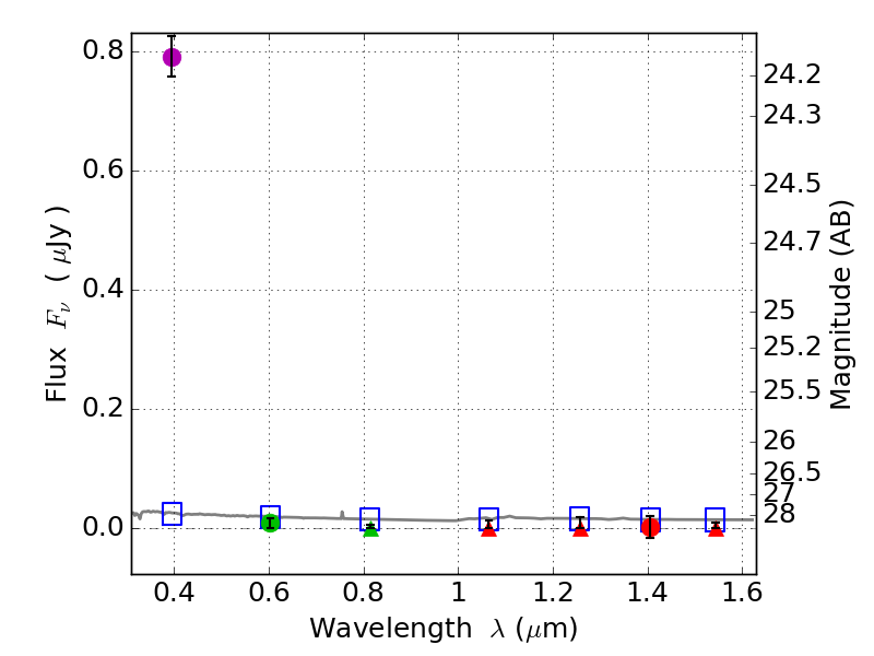
RXS0603+42-S IR detection object #5939

Color images and BPZ results
Catalog: 5939.cat
Black segments are analyzed here.   Roll mouse over color images to view segments.
Best viewed in a wide browser window (1200 pixels or more).   Download SED & P(z) plots to view larger versions.
In P(z) plots: Yellow lines mark the cluster redshift z = 0.228,  

Object #5939   x,y = (3629, 1628)   RA, Dec = (06:03:20.328, 42:09:03.96) = (90.83470, 42.15110)   BPZ = 1.700 [0.871--2.431]   type = 11.00 (SB11_A_0_l)   stellarity = 0.90   chisq2 = 124.90   ODDS = 0.36   z_cluster = 0.228