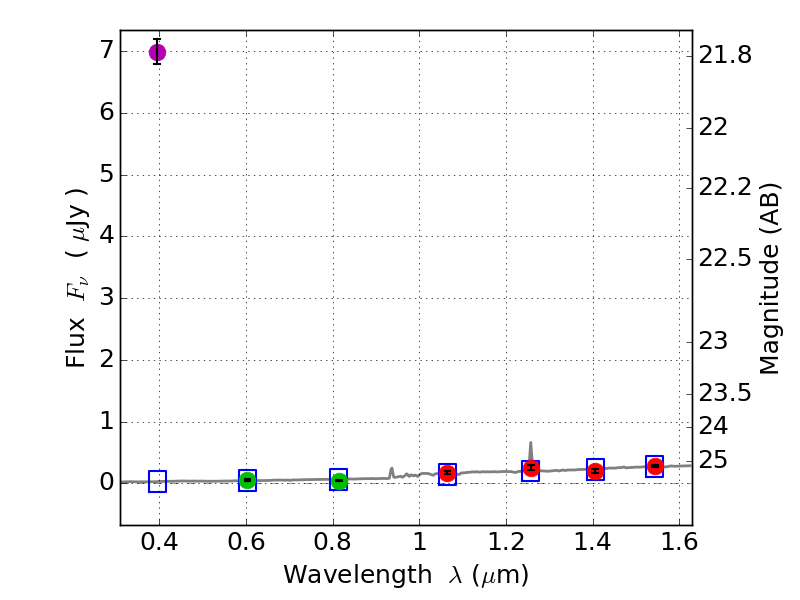
RXS0603+42-S IR detection object #5849

Color images and BPZ results
Catalog: 5849.cat
Black segments are analyzed here.   Roll mouse over color images to view segments.
Best viewed in a wide browser window (1200 pixels or more).   Download SED & P(z) plots to view larger versions.
In P(z) plots: Yellow lines mark the cluster redshift z = 0.228,  

Object #5849   x,y = (3670, 1655)   RA, Dec = (06:03:20.112, 42:09:05.76) = (90.83380, 42.15160)   BPZ = 1.506 [1.201--1.928]   type = 7.30 (Scd_B10 - SB1_B10)   stellarity = 0.91   chisq2 = 283.90   ODDS = 0.46   z_cluster = 0.228