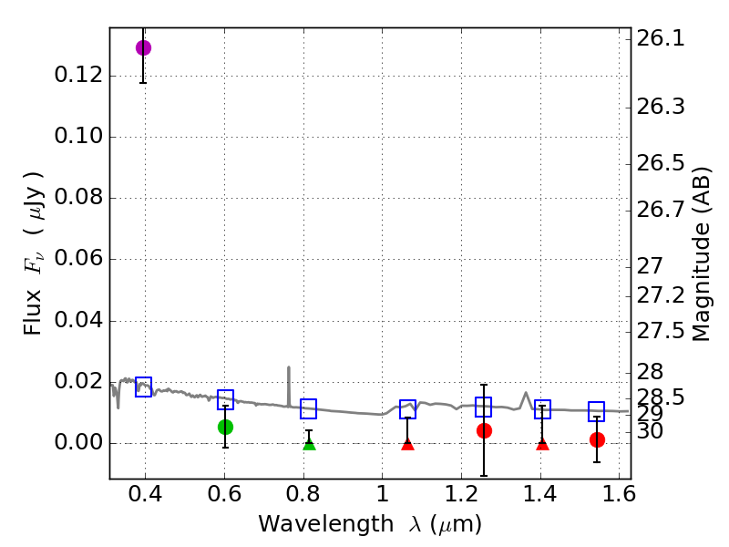
RXS0603+42-S IR detection object #5787

Color images and BPZ results
Catalog: 5787.cat
Black segments are analyzed here.   Roll mouse over color images to view segments.
Best viewed in a wide browser window (1200 pixels or more).   Download SED & P(z) plots to view larger versions.
In P(z) plots: Yellow lines mark the cluster redshift z = 0.228,  

Object #5787   x,y = (3246, 1713)   RA, Dec = (06:03:22.392, 42:09:09.00) = (90.84330, 42.15250)   BPZ = 1.731 [0.885--2.428]   type = 11.00 (SB11_A_0_l)   stellarity = 0.68   chisq2 = 24.91   ODDS = 0.35   z_cluster = 0.228