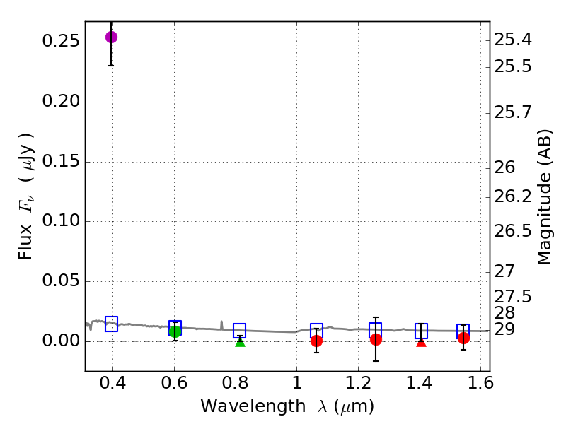
RXS0603+42-S IR detection object #5786

Color images and BPZ results
Catalog: 5786.cat
Black segments are analyzed here.   Roll mouse over color images to view segments.
Best viewed in a wide browser window (1200 pixels or more).   Download SED & P(z) plots to view larger versions.
In P(z) plots: Yellow lines mark the cluster redshift z = 0.228,  

Object #5786   x,y = (3654, 1712)   RA, Dec = (06:03:20.184, 42:09:09.00) = (90.83410, 42.15250)   BPZ = 1.700 [0.346--5.772]   type = 11.00 (SB11_A_0_l)   stellarity = 0.41   chisq2 = 25.35   ODDS = 0.13   z_cluster = 0.228