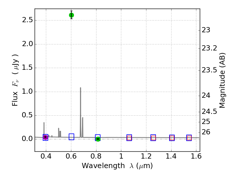
RXS0603+42-S IR detection object #5778

Color images and BPZ results
Catalog: 5778.cat
Black segments are analyzed here.   Roll mouse over color images to view segments.
Best viewed in a wide browser window (1200 pixels or more).   Download SED & P(z) plots to view larger versions.
In P(z) plots: Yellow lines mark the cluster redshift z = 0.228,  

Object #5778   x,y = (1246, 1741)   RA, Dec = (06:03:33.192, 42:09:10.80) = (90.88830, 42.15300)   BPZ = 0.026 [0.033--2.918]   type = 11.00 (SB11_A_0_l)   stellarity = 0.95   chisq2 = 1066.00   ODDS = 0.04   z_cluster = 0.228