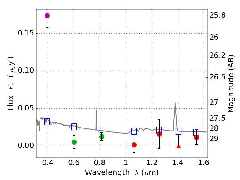
RXS0603+42-S IR detection object #5763

Color images and BPZ results
Catalog: 5763.cat
Black segments are analyzed here.   Roll mouse over color images to view segments.
Best viewed in a wide browser window (1200 pixels or more).   Download SED & P(z) plots to view larger versions.
In P(z) plots: Yellow lines mark the cluster redshift z = 0.228,  

Object #5763   x,y = (2369, 1719)   RA, Dec = (06:03:27.120, 42:09:09.36) = (90.86300, 42.15260)   BPZ = 1.763 [0.994--2.308]   type = 11.00 (SB11_A_0_l)   stellarity = 0.56   chisq2 = 22.57   ODDS = 0.38   z_cluster = 0.228