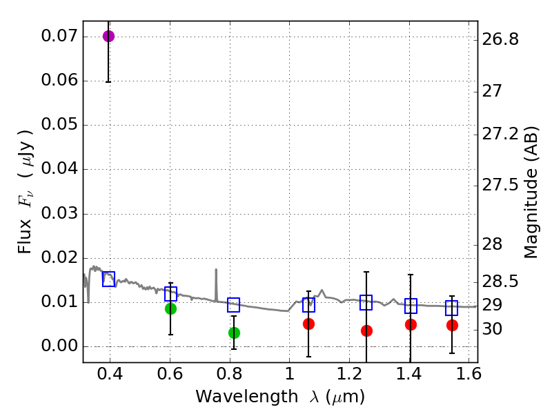
RXS0603+42-S IR detection object #5595

Color images and BPZ results
Catalog: 5595.cat
Black segments are analyzed here.   Roll mouse over color images to view segments.
Best viewed in a wide browser window (1200 pixels or more).   Download SED & P(z) plots to view larger versions.
In P(z) plots: Yellow lines mark the cluster redshift z = 0.228,  

Object #5595   x,y = (3463, 1790)   RA, Dec = (06:03:21.216, 42:09:13.68) = (90.83840, 42.15380)   BPZ = 1.700 [0.551--2.760]   type = 11.00 (SB11_A_0_l)   stellarity = 0.41   chisq2 = 7.83   ODDS = 0.23   z_cluster = 0.228