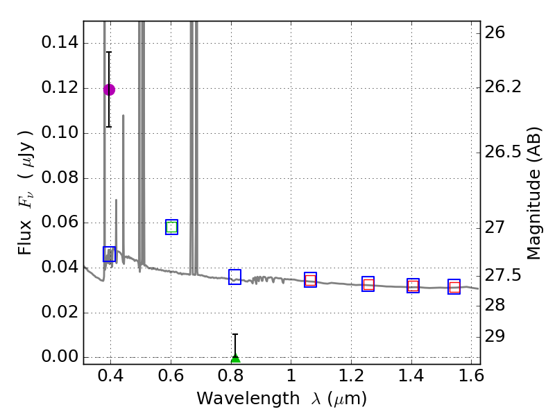
RXS0603+42-S IR detection object #5580

Color images and BPZ results
Catalog: 5580.cat
Black segments are analyzed here.   Roll mouse over color images to view segments.
Best viewed in a wide browser window (1200 pixels or more).   Download SED & P(z) plots to view larger versions.
In P(z) plots: Yellow lines mark the cluster redshift z = 0.228,  

Object #5580   x,y = (800, 1797)   RA, Dec = (06:03:35.592, 42:09:14.04) = (90.89830, 42.15390)   BPZ = 0.025 [0.010--0.491]   type = 11.00 (SB11_A_0_l)   stellarity = 0.47   chisq2 = 28.91   ODDS = 0.87   z_cluster = 0.228