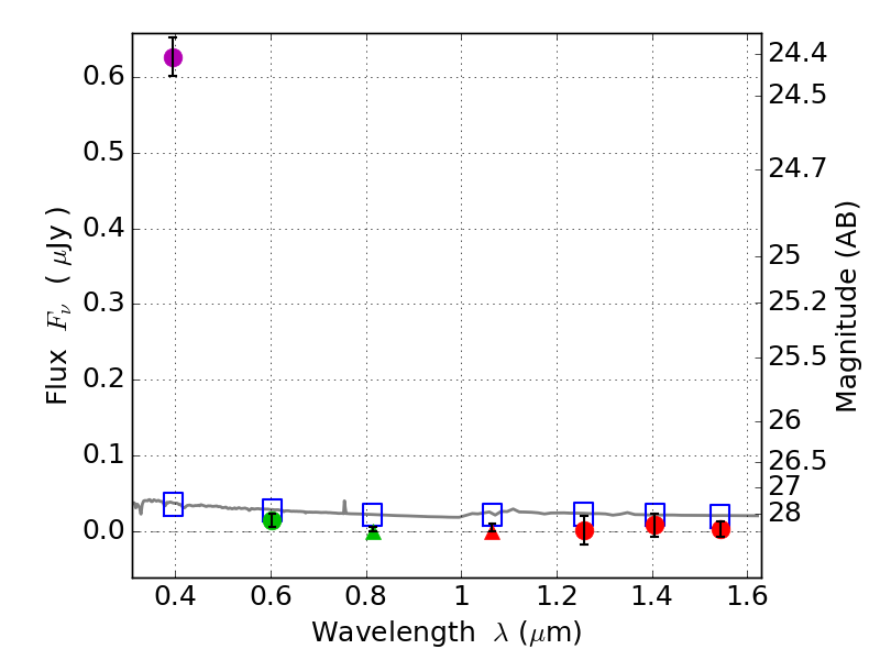
RXS0603+42-S IR detection object #5466

Color images and BPZ results
Catalog: 5466.cat
Black segments are analyzed here.   Roll mouse over color images to view segments.
Best viewed in a wide browser window (1200 pixels or more).   Download SED & P(z) plots to view larger versions.
In P(z) plots: Yellow lines mark the cluster redshift z = 0.228,  

Object #5466   x,y = (2735, 1846)   RA, Dec = (06:03:25.152, 42:09:16.92) = (90.85480, 42.15470)   BPZ = 1.699 [1.429--2.153]   type = 11.00 (SB11_A_0_l)   stellarity = 0.99   chisq2 = 133.60   ODDS = 0.54   z_cluster = 0.228