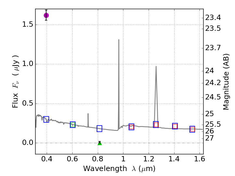
RXS0603+42-S IR detection object #5426

Color images and BPZ results
Catalog: 5426.cat
Black segments are analyzed here.   Roll mouse over color images to view segments.
Best viewed in a wide browser window (1200 pixels or more).   Download SED & P(z) plots to view larger versions.
In P(z) plots: Yellow lines mark the cluster redshift z = 0.228,  

Object #5426   x,y = (756, 1865)   RA, Dec = (06:03:35.832, 42:09:18.36) = (90.89930, 42.15510)   BPZ = 1.589 [1.378--1.730]   type = 11.00 (SB11_A_0_l)   stellarity = 1.00   chisq2 = 424.80   ODDS = 0.74   z_cluster = 0.228