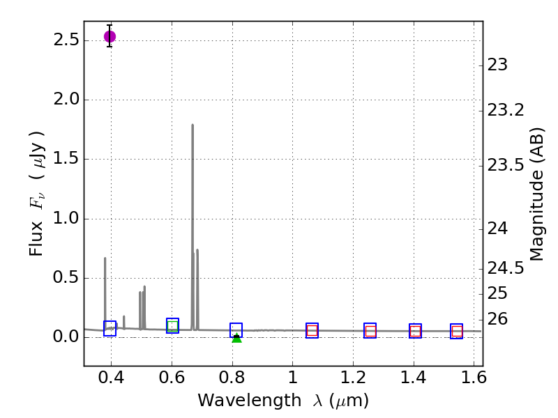
RXS0603+42-S IR detection object #5351

Color images and BPZ results
Catalog: 5351.cat
Black segments are analyzed here.   Roll mouse over color images to view segments.
Best viewed in a wide browser window (1200 pixels or more).   Download SED & P(z) plots to view larger versions.
In P(z) plots: Yellow lines mark the cluster redshift z = 0.228,  

Object #5351   x,y = (808, 1899)   RA, Dec = (06:03:35.544, 42:09:20.16) = (90.89810, 42.15560)   BPZ = 0.022 [0.010--0.402]   type = 11.00 (SB11_A_0_l)   stellarity = 0.91   chisq2 = 786.60   ODDS = 0.95   z_cluster = 0.228