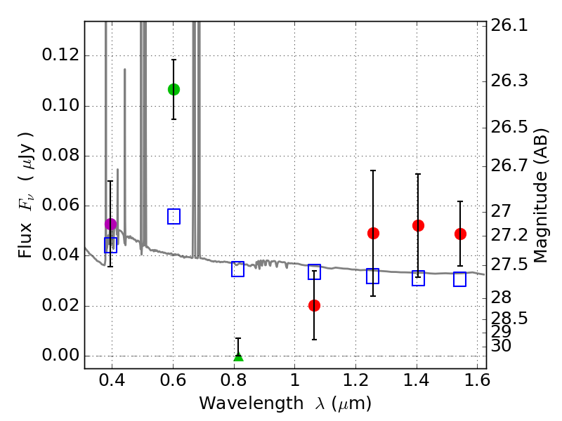
RXS0603+42-S IR detection object #5342

Color images and BPZ results
Catalog: 5342.cat
Black segments are analyzed here.   Roll mouse over color images to view segments.
Best viewed in a wide browser window (1200 pixels or more).   Download SED & P(z) plots to view larger versions.
In P(z) plots: Yellow lines mark the cluster redshift z = 0.228,  

Object #5342   x,y = (3420, 2212)   RA, Dec = (06:03:21.456, 42:09:38.88) = (90.83940, 42.16080)   BPZ = 0.024 [0.024--2.640]   type = 11.00 (SB11_A_0_l)   stellarity = 0.36   chisq2 = 9.99   ODDS = 0.06   z_cluster = 0.228