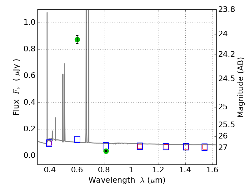
RXS0603+42-S IR detection object #5162

Color images and BPZ results
Catalog: 5162.cat
Black segments are analyzed here.   Roll mouse over color images to view segments.
Best viewed in a wide browser window (1200 pixels or more).   Download SED & P(z) plots to view larger versions.
In P(z) plots: Yellow lines mark the cluster redshift z = 0.228,  

Object #5162   x,y = (3940, 1997)   RA, Dec = (06:03:18.648, 42:09:25.92) = (90.82770, 42.15720)   BPZ = 0.018 [0.010--0.038]   type = 11.00 (SB11_A_0_l)   stellarity = 0.91   chisq2 = 581.00   ODDS = 1.00   z_cluster = 0.228