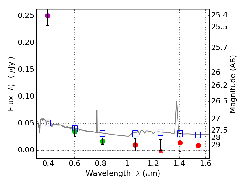
RXS0603+42-S IR detection object #5109

Color images and BPZ results
Catalog: 5109.cat
Black segments are analyzed here.   Roll mouse over color images to view segments.
Best viewed in a wide browser window (1200 pixels or more).   Download SED & P(z) plots to view larger versions.
In P(z) plots: Yellow lines mark the cluster redshift z = 0.228,  

Object #5109   x,y = (2217, 2027)   RA, Dec = (06:03:27.936, 42:09:28.08) = (90.86640, 42.15780)   BPZ = 1.764 [1.510--2.176]   type = 11.00 (SB11_A_0_l)   stellarity = 0.68   chisq2 = 31.51   ODDS = 0.53   z_cluster = 0.228