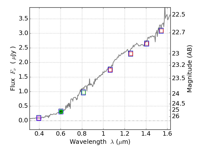
RXS0603+42-S IR detection object #50

Color images and BPZ results
Catalog: 50.cat
Black segments are analyzed here.   Roll mouse over color images to view segments.
Best viewed in a wide browser window (1200 pixels or more).   Download SED & P(z) plots to view larger versions.
In P(z) plots: Yellow lines mark the cluster redshift z = 0.228,  

Object #50   x,y = (2161, 4333)   RA, Dec = (06:03:28.248, 42:11:46.32) = (90.86770, 42.19620)   BPZ = 0.737 [0.185--4.459]   type = 6.00 (Sbc_B10)   stellarity = 0.69   chisq2 = 990.00   ODDS = 0.09   z_cluster = 0.228