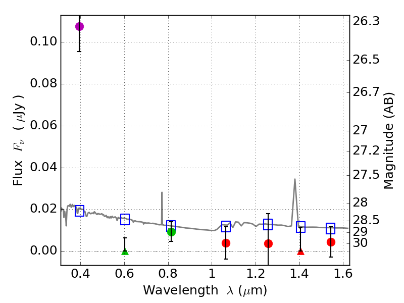
RXS0603+42-S IR detection object #4952

Color images and BPZ results
Catalog: 4952.cat
Black segments are analyzed here.   Roll mouse over color images to view segments.
Best viewed in a wide browser window (1200 pixels or more).   Download SED & P(z) plots to view larger versions.
In P(z) plots: Yellow lines mark the cluster redshift z = 0.228,  

Object #4952   x,y = (2314, 2113)   RA, Dec = (06:03:27.432, 42:09:33.12) = (90.86430, 42.15920)   BPZ = 1.764 [0.547--2.498]   type = 11.00 (SB11_A_0_l)   stellarity = 0.45   chisq2 = 15.16   ODDS = 0.25   z_cluster = 0.228