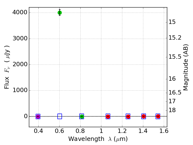
RXS0603+42-S IR detection object #4920

Color images and BPZ results
Catalog: 4920.cat
Black segments are analyzed here.   Roll mouse over color images to view segments.
Best viewed in a wide browser window (1200 pixels or more).   Download SED & P(z) plots to view larger versions.
In P(z) plots: Yellow lines mark the cluster redshift z = 0.228,  

Object #4920   x,y = (1660, 2038)   RA, Dec = (06:03:30.960, 42:09:28.80) = (90.87900, 42.15800)   BPZ = 3.067 [0.278--3.120]   type = 8.40 (SB1_B10 - SB2_B10)   stellarity = 1.00   chisq2 = 287.70   ODDS = 0.93   z_cluster = 0.228