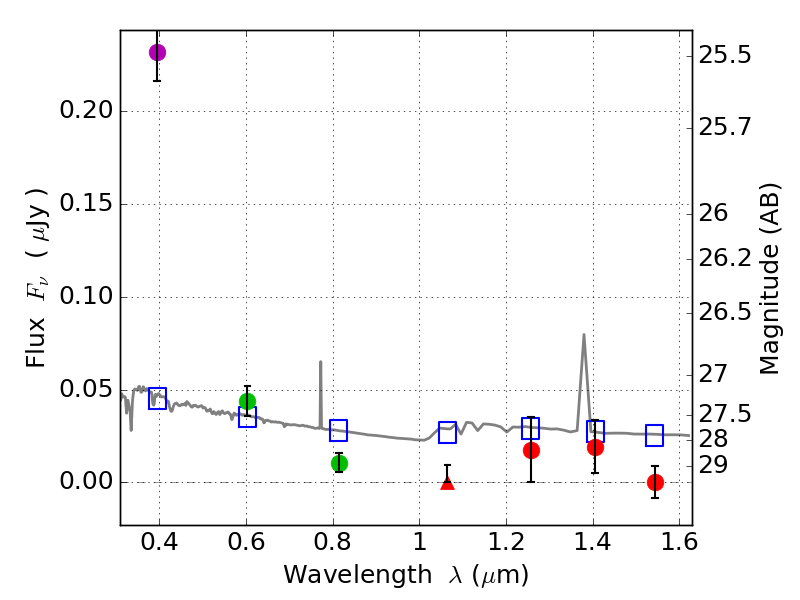
RXS0603+42-S IR detection object #4839

Color images and BPZ results
Catalog: 4839.cat
Black segments are analyzed here.   Roll mouse over color images to view segments.
Best viewed in a wide browser window (1200 pixels or more).   Download SED & P(z) plots to view larger versions.
In P(z) plots: Yellow lines mark the cluster redshift z = 0.228,  

Object #4839   x,y = (1910, 2171)   RA, Dec = (06:03:29.592, 42:09:36.72) = (90.87330, 42.16020)   BPZ = 1.762 [1.571--2.133]   type = 11.00 (SB11_A_0_l)   stellarity = 0.60   chisq2 = 39.93   ODDS = 0.59   z_cluster = 0.228