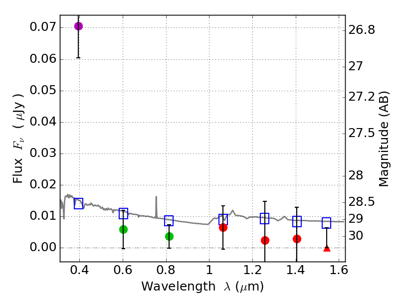
RXS0603+42-S IR detection object #4805

Color images and BPZ results
Catalog: 4805.cat
Black segments are analyzed here.   Roll mouse over color images to view segments.
Best viewed in a wide browser window (1200 pixels or more).   Download SED & P(z) plots to view larger versions.
In P(z) plots: Yellow lines mark the cluster redshift z = 0.228,  

Object #4805   x,y = (2250, 2177)   RA, Dec = (06:03:27.768, 42:09:37.08) = (90.86570, 42.16030)   BPZ = 1.702 [0.430--2.955]   type = 11.00 (SB11_A_0_l)   stellarity = 0.36   chisq2 = 8.71   ODDS = 0.23   z_cluster = 0.228