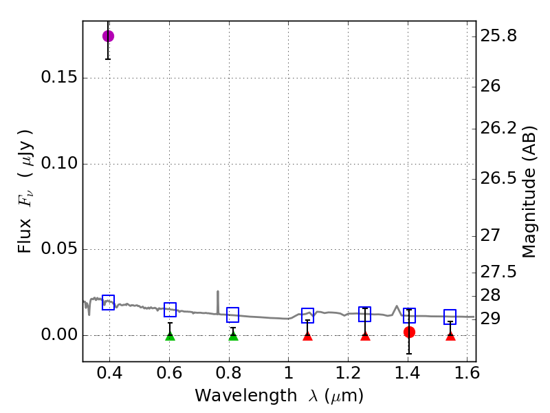
RXS0603+42-S IR detection object #4759

Color images and BPZ results
Catalog: 4759.cat
Black segments are analyzed here.   Roll mouse over color images to view segments.
Best viewed in a wide browser window (1200 pixels or more).   Download SED & P(z) plots to view larger versions.
In P(z) plots: Yellow lines mark the cluster redshift z = 0.228,  

Object #4759   x,y = (2178, 2194)   RA, Dec = (06:03:28.152, 42:09:37.80) = (90.86730, 42.16050)   BPZ = 1.731 [0.885--2.438]   type = 11.00 (SB11_A_0_l)   stellarity = 0.63   chisq2 = 35.77   ODDS = 0.35   z_cluster = 0.228