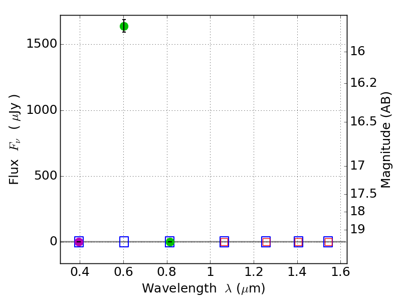
RXS0603+42-S IR detection object #4706

Color images and BPZ results
Catalog: 4706.cat
Black segments are analyzed here.   Roll mouse over color images to view segments.
Best viewed in a wide browser window (1200 pixels or more).   Download SED & P(z) plots to view larger versions.
In P(z) plots: Yellow lines mark the cluster redshift z = 0.228,  

Object #4706   x,y = (1532, 1711)   RA, Dec = (06:03:31.632, 42:09:09.00) = (90.88180, 42.15250)   BPZ = 1.337 [0.316--8.141]   type = 11.00 (SB11_A_0_l)   stellarity = 1.00   chisq2 = 1150.00   ODDS = 0.06   z_cluster = 0.228