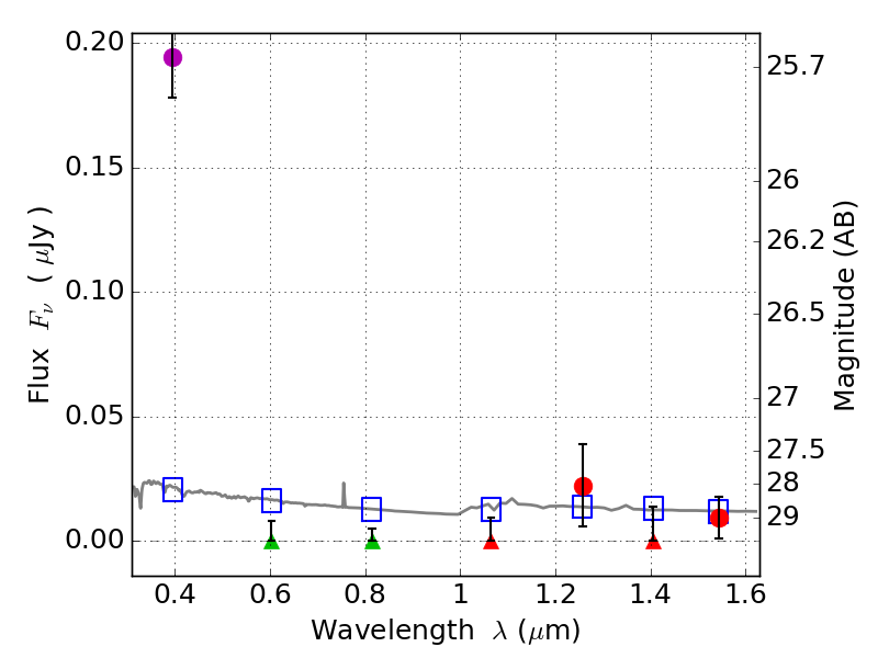
RXS0603+42-S IR detection object #4656

Color images and BPZ results
Catalog: 4656.cat
Black segments are analyzed here.   Roll mouse over color images to view segments.
Best viewed in a wide browser window (1200 pixels or more).   Download SED & P(z) plots to view larger versions.
In P(z) plots: Yellow lines mark the cluster redshift z = 0.228,  

Object #4656   x,y = (2143, 2261)   RA, Dec = (06:03:28.344, 42:09:42.12) = (90.86810, 42.16170)   BPZ = 1.698 [0.808--2.425]   type = 11.00 (SB11_A_0_l)   stellarity = 0.66   chisq2 = 31.56   ODDS = 0.30   z_cluster = 0.228