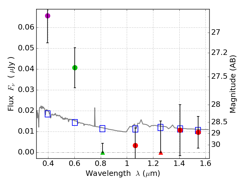
RXS0603+42-S IR detection object #4645

Color images and BPZ results
Catalog: 4645.cat
Black segments are analyzed here.   Roll mouse over color images to view segments.
Best viewed in a wide browser window (1200 pixels or more).   Download SED & P(z) plots to view larger versions.
In P(z) plots: Yellow lines mark the cluster redshift z = 0.228,  

Object #4645   x,y = (3349, 2530)   RA, Dec = (06:03:21.840, 42:09:57.96) = (90.84100, 42.16610)   BPZ = 1.699 [0.465--2.855]   type = 11.00 (SB11_A_0_l)   stellarity = 0.36   chisq2 = 7.13   ODDS = 0.20   z_cluster = 0.228