RXS0603+42-S IR detection object #4621

Color images and BPZ results
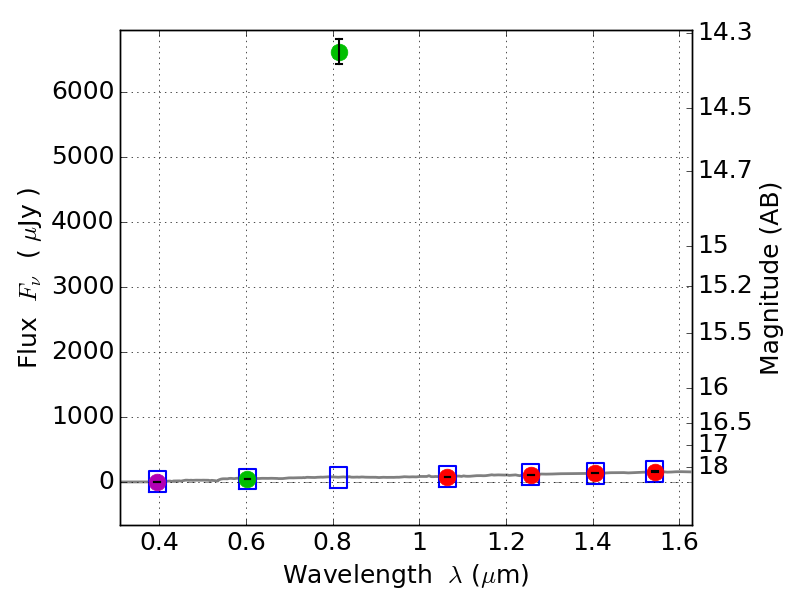
Catalog: 4621.cat
Black segments are analyzed here.   Roll mouse over color images to view segments.
Best viewed in a wide browser window (1200 pixels or more).   Download SED & P(z) plots to view larger versions.
In P(z) plots: Yellow lines mark the cluster redshift z = 0.228,  

Object #4621   x,y = (1703, 1950)   RA, Dec = (06:03:30.720, 42:09:23.40) = (90.87800, 42.15650)   BPZ = 3.405 [3.369--3.440]   type = 7.40 (Scd_B10 - SB1_B10)   stellarity = 0.71   chisq2 = 280.40   ODDS = 1.00   z_cluster = 0.228