RXS0603+42-S IR detection object #4596

Color images and BPZ results
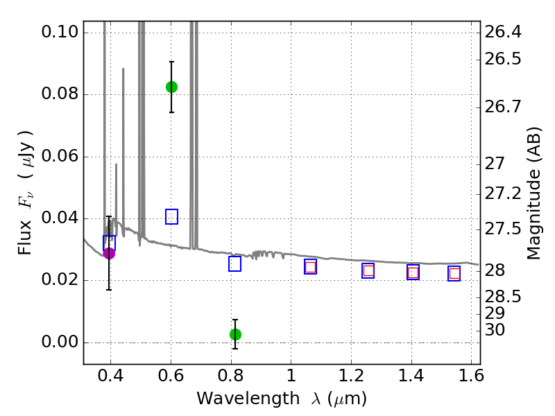
Catalog: 4596.cat
Black segments are analyzed here.   Roll mouse over color images to view segments.
Best viewed in a wide browser window (1200 pixels or more).   Download SED & P(z) plots to view larger versions.
In P(z) plots: Yellow lines mark the cluster redshift z = 0.228,  

Object #4596   x,y = (1440, 2294)   RA, Dec = (06:03:32.136, 42:09:43.92) = (90.88390, 42.16220)   BPZ = 0.024 [0.012--2.855]   type = 11.00 (SB11_A_0_l)   stellarity = 0.37   chisq2 = 41.01   ODDS = 0.37   z_cluster = 0.228